Официальное опубликование правовых актов
ОФИЦИАЛЬНОЕ ОПУБЛИКОВАНИЕ
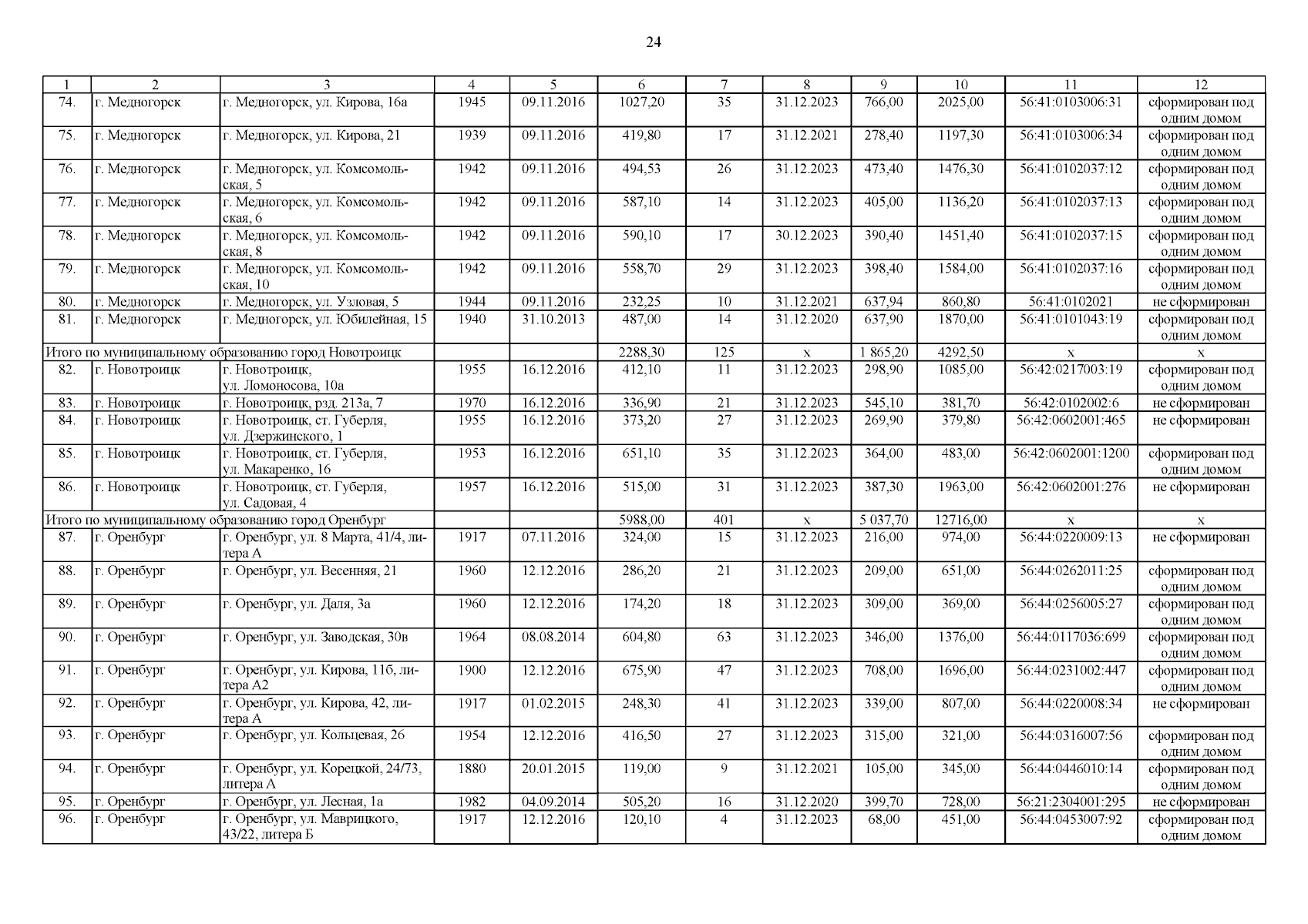
Постановление Правительства Оренбургской области от 30.01.2024 № 50-пп
"О внесении изменения в постановление Правительства Оренбургской области от 20.03.2019 № 186-пп"
Номер опубликования: 5600202402020002
Дата опубликования: 02.02.2024
Страница №24 из 69:
Увеличить