Официальное опубликование правовых актов
ОФИЦИАЛЬНОЕ ОПУБЛИКОВАНИЕ
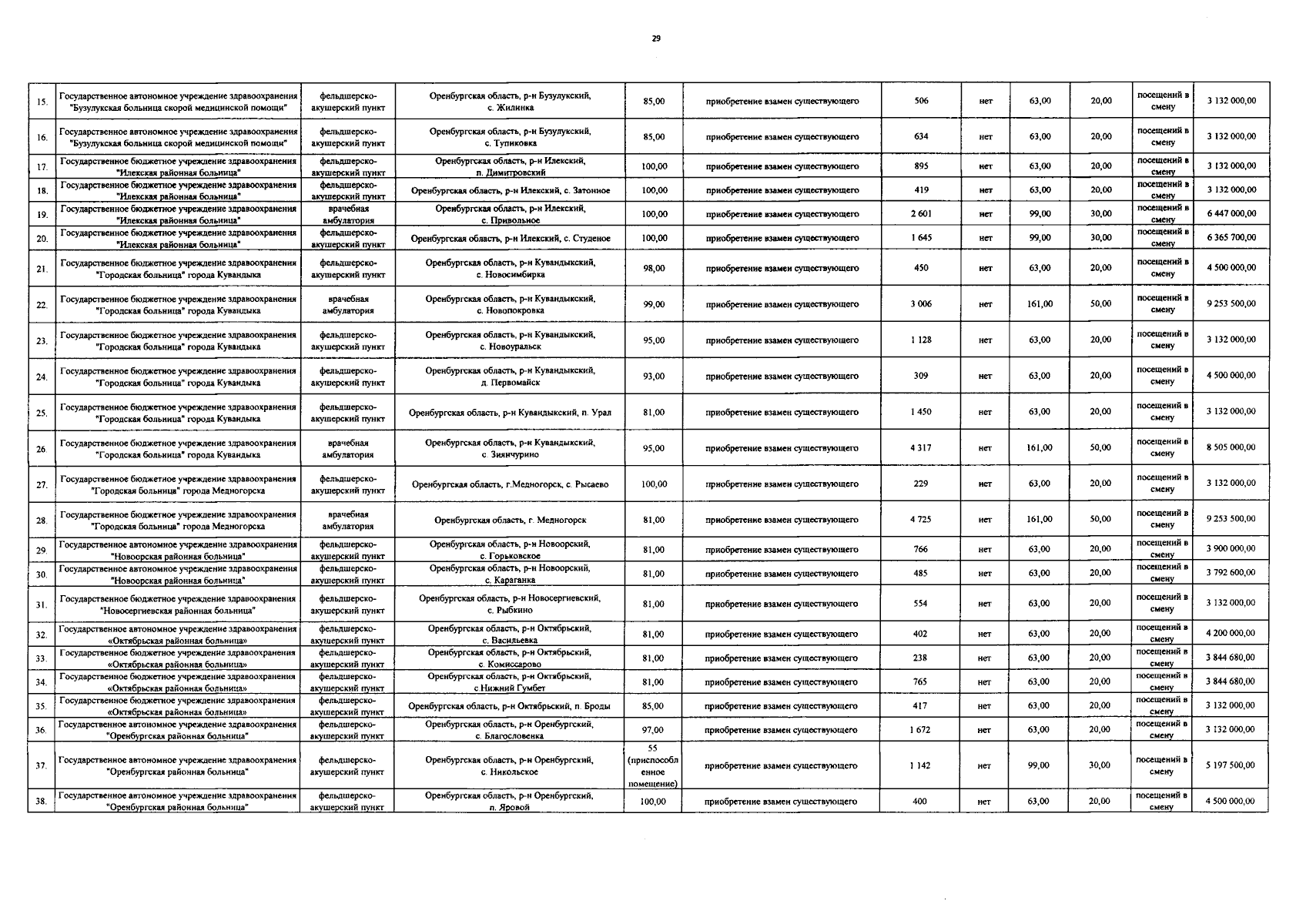
Постановление Правительства Оренбургской области от 23.01.2024 № 46-п
"О внесении изменений в постановление Правительства Оренбургской области от 11.12.2020 № 1079-п"
Номер опубликования: 5600202401300001
Дата опубликования: 30.01.2024
Страница №29 из 1599:
Увеличить