Официальное опубликование правовых актов
ОФИЦИАЛЬНОЕ ОПУБЛИКОВАНИЕ
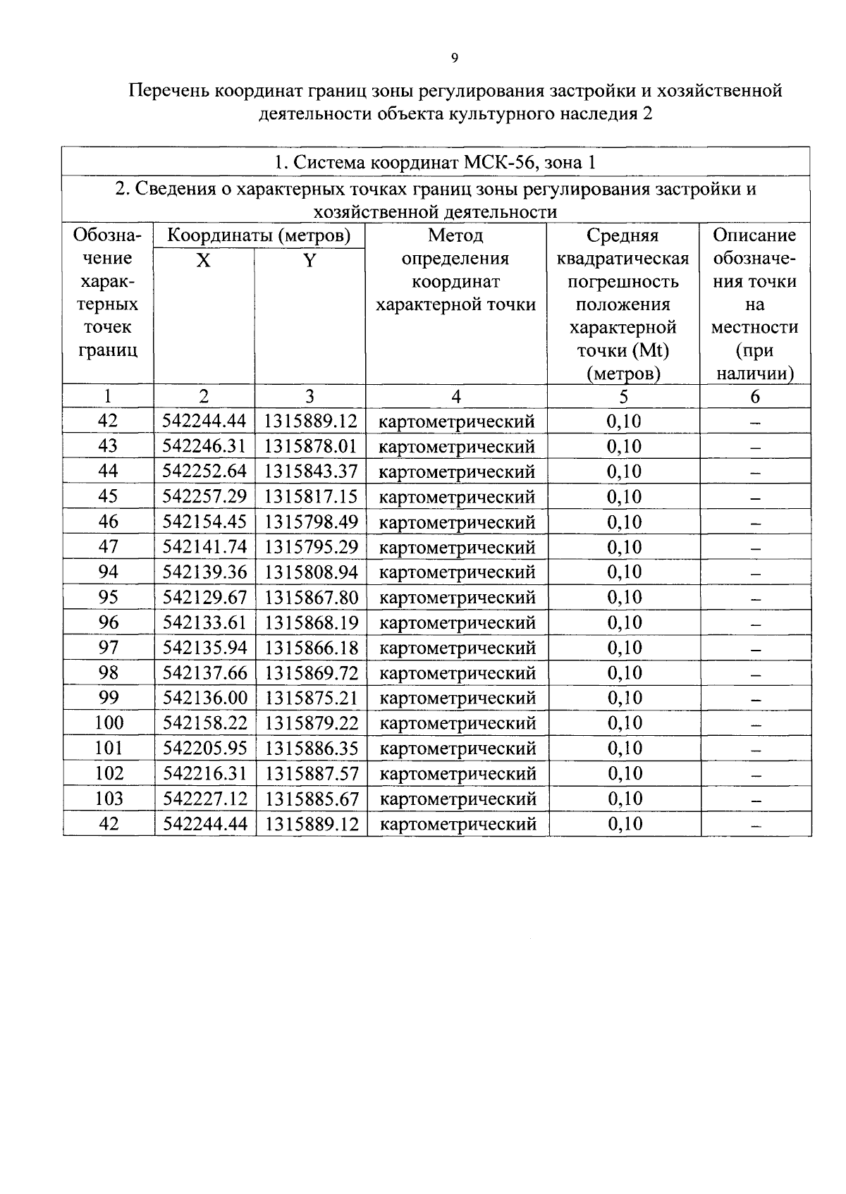
Постановление Правительства Оренбургской области от 26.12.2023 № 1411-пп
"Об установлении зон охраны и утверждении требований к градостроительным регламентам в установленных границах территорий зон охраны объекта культурного наследия (памятника истории и культуры) народов Российской Федерации федерального значения "Дом, в котором в 1919 г. находились штабы Южной группы Восточного фронта под командованием Фрунзе Михаила Васильевича, 24 Симбирской стрелковой дивизии под командованием Гая Дмитриевича Гая (Бжишкяна)"
Номер опубликования: 5600202312290031
Дата опубликования: 29.12.2023
Страница №9 из 20:
Увеличить