Официальное опубликование правовых актов
ОФИЦИАЛЬНОЕ ОПУБЛИКОВАНИЕ
Постановление Правительства Оренбургской области от 26.12.2023 № 1410-пп
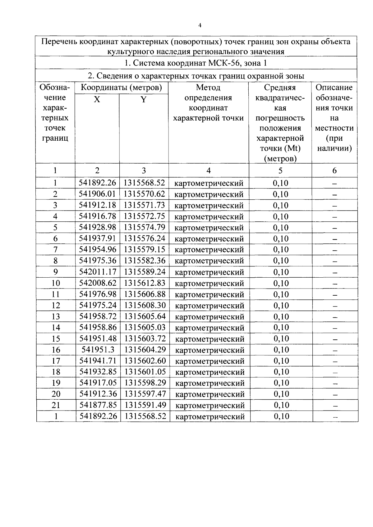
"Об установлении зон охраны и утверждении требований к градостроительным регламентам в установленных границах территорий зон охраны объекта культурного наследия (памятника истории и культуры) народов Российской Федерации регионального значения "Дом, где в апреле 1919 года жил Д.А. Фурманов"
Номер опубликования: 5600202312290024
Дата опубликования: 29.12.2023
Страница №4 из 14:
Увеличить