Постановление Правительства Оренбургской области от 26.12.2023 № 1392-пп
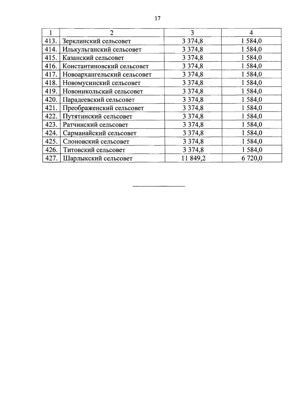
"О нормативах формирования расходов на содержание органов местного самоуправления и оплату труда депутатов, выборных должностных лиц местного самоуправления, осуществляющих свои полномочия на постоянной основе, муниципальных служащих в бюджетах муниципальных образований Оренбургской области на 2024 год"
"О нормативах формирования расходов на содержание органов местного самоуправления и оплату труда депутатов, выборных должностных лиц местного самоуправления, осуществляющих свои полномочия на постоянной основе, муниципальных служащих в бюджетах муниципальных образований Оренбургской области на 2024 год"
Номер опубликования: 5600202312290013
Дата опубликования:
29.12.2023
