Официальное опубликование правовых актов
ОФИЦИАЛЬНОЕ ОПУБЛИКОВАНИЕ
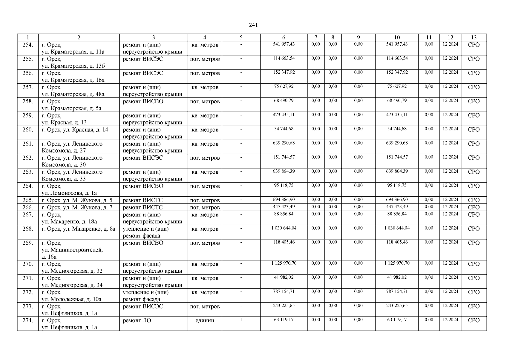
Постановление Правительства Оренбургской области от 26.12.2023 № 1362-пп
"О внесении изменений в постановление Правительства Оренбургской области от 27 сентября 2022 года № 1014-пп"
Номер опубликования: 5600202312280032
Дата опубликования: 28.12.2023
Страница №241 из 266:
Увеличить