Официальное опубликование правовых актов
ОФИЦИАЛЬНОЕ ОПУБЛИКОВАНИЕ
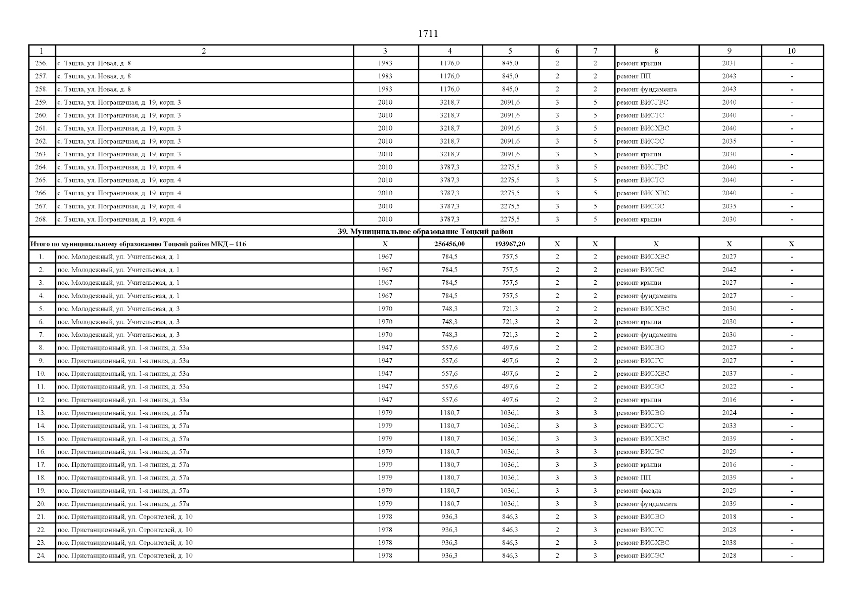
Постановление Правительства Оренбургской области от 26.12.2023 № 1361-пп
"О внесении изменений в постановление Правительства Оренбургской области от 30.12.2013 № 1263-пп"
Номер опубликования: 5600202312280025
Дата опубликования: 28.12.2023
Страница №1711 из 1774:
Увеличить