Официальное опубликование правовых актов
ОФИЦИАЛЬНОЕ ОПУБЛИКОВАНИЕ
Постановление Правительства Оренбургской области от 26.12.2023 № 1363-пп
"О внесении изменения в постановление Правительства Оренбургской области от 27 сентября 2023 года № 945-пп"
Номер опубликования: 5600202312280024
Дата опубликования: 28.12.2023
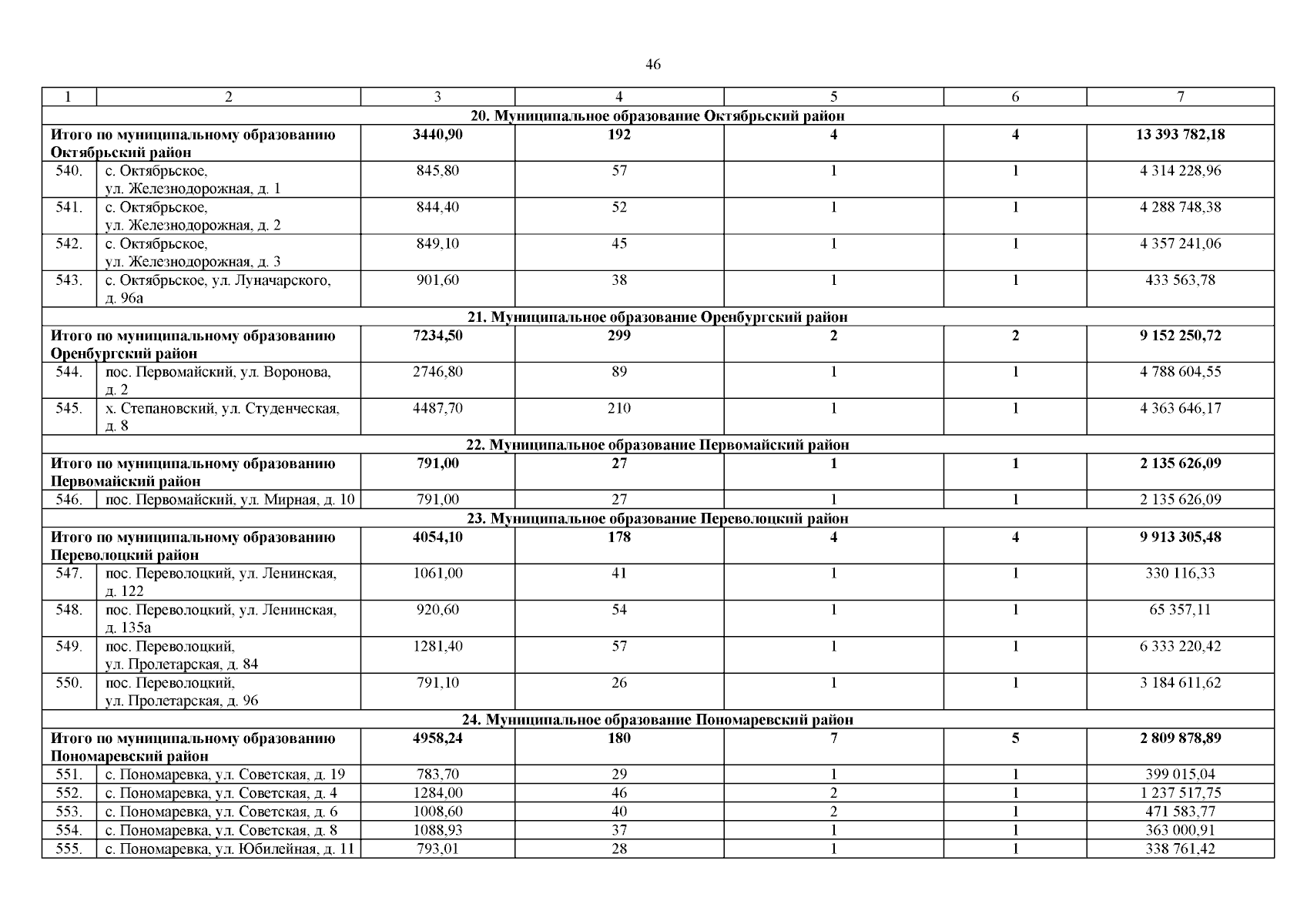
Страница №46 из 416:
Увеличить