Официальное опубликование правовых актов
ОФИЦИАЛЬНОЕ ОПУБЛИКОВАНИЕ
Постановление Правительства Оренбургской области от 19.12.2023 № 1305-пп
"О внесении изменения в постановление Правительства Оренбургской области от 14.02.2022 № 122-пп"
Номер опубликования: 5600202312220002
Дата опубликования: 22.12.2023
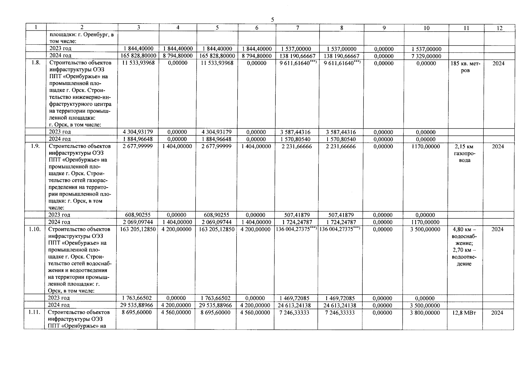
Страница №5 из 9:
Увеличить