Официальное опубликование правовых актов
ОФИЦИАЛЬНОЕ ОПУБЛИКОВАНИЕ
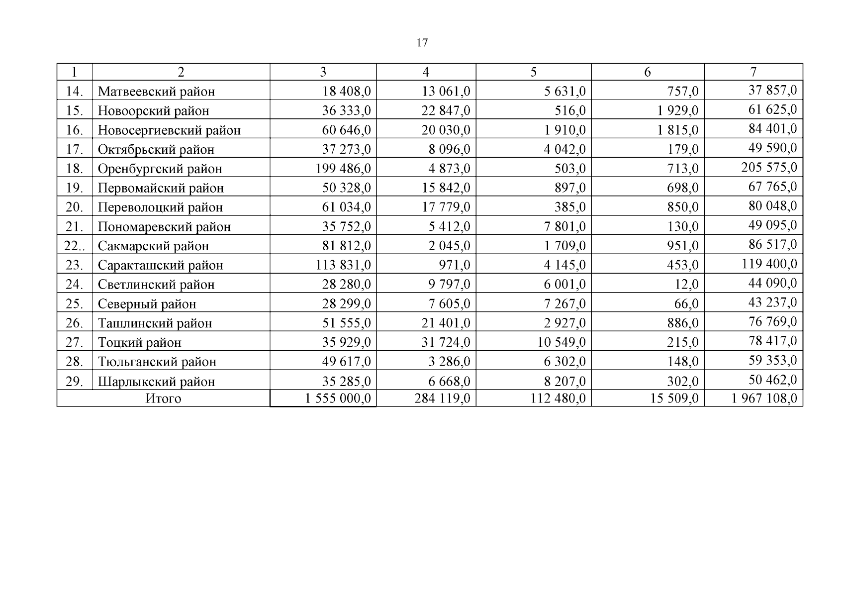
Закон Оренбургской области от 14.12.2023 № 993/400-VII-ОЗ
"Об областном бюджете на 2024 год и на плановый период 2025 и 2026 годов"
Номер опубликования: 5600202312180006
Дата опубликования: 18.12.2023
Страница №1210 из 1311:
Увеличить