Официальное опубликование правовых актов
ОФИЦИАЛЬНОЕ ОПУБЛИКОВАНИЕ
Постановление Правительства Оренбургской области от 09.11.2023 № 1106-пп
"О внесении изменений в постановление Правительства Оренбургской области от 1 декабря 2020 года № 1006-пп"
Номер опубликования: 5600202311130002
Дата опубликования: 13.11.2023
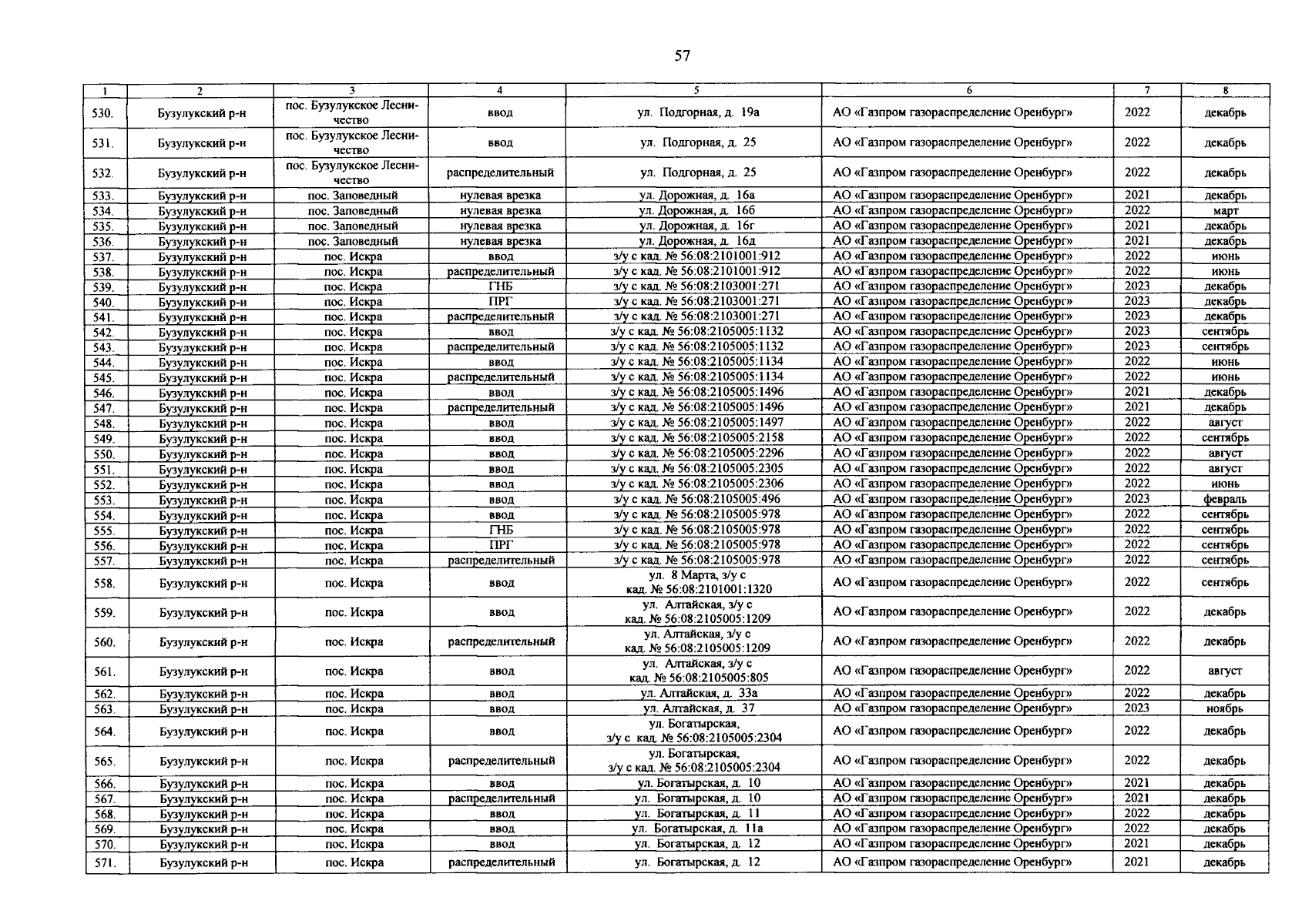
Страница №57 из 185:
Увеличить