Официальное опубликование правовых актов
ОФИЦИАЛЬНОЕ ОПУБЛИКОВАНИЕ
Постановление Правительства Оренбургской области от 10.10.2023 № 1020-п
"О внесении изменений в постановление Правительства Оренбургской области от 11.12.2020 № 1079-п"
Номер опубликования: 5600202310160002
Дата опубликования: 16.10.2023
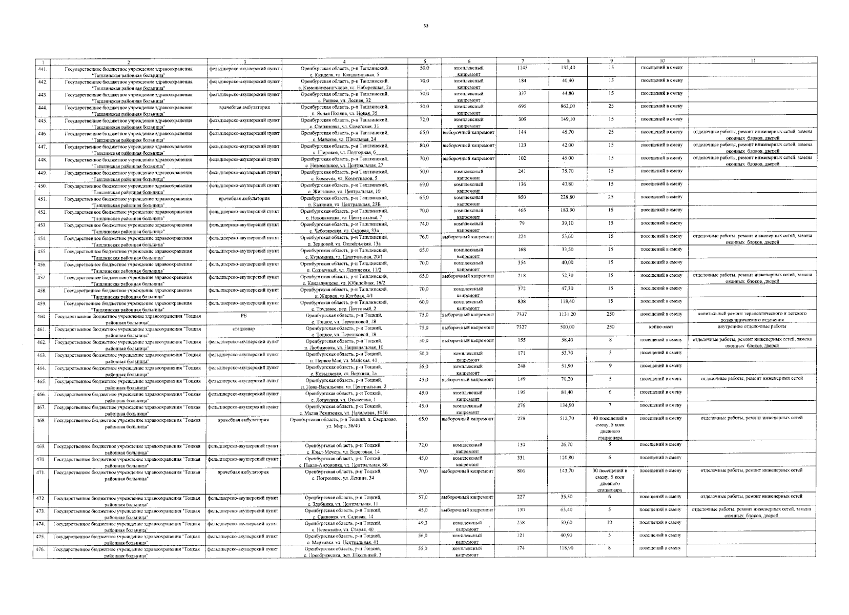
Страница №53 из 1496:
Увеличить