Официальное опубликование правовых актов
ОФИЦИАЛЬНОЕ ОПУБЛИКОВАНИЕ
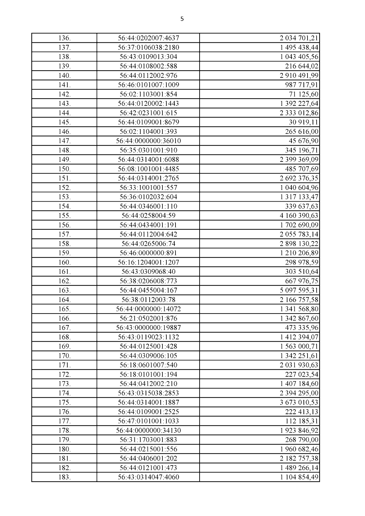
Постановление Правительства Оренбургской области от 27.09.2023 № 958-пп
"Об утверждении результатов определения кадастровой стоимости зданий, помещений, сооружений, объектов незавершенного строительства, машино-мест, расположенных на территории Оренбургской области"
Номер опубликования: 5600202310020011
Дата опубликования: 02.10.2023
Страница №5 из 28314:
Увеличить