Официальное опубликование правовых актов
ОФИЦИАЛЬНОЕ ОПУБЛИКОВАНИЕ
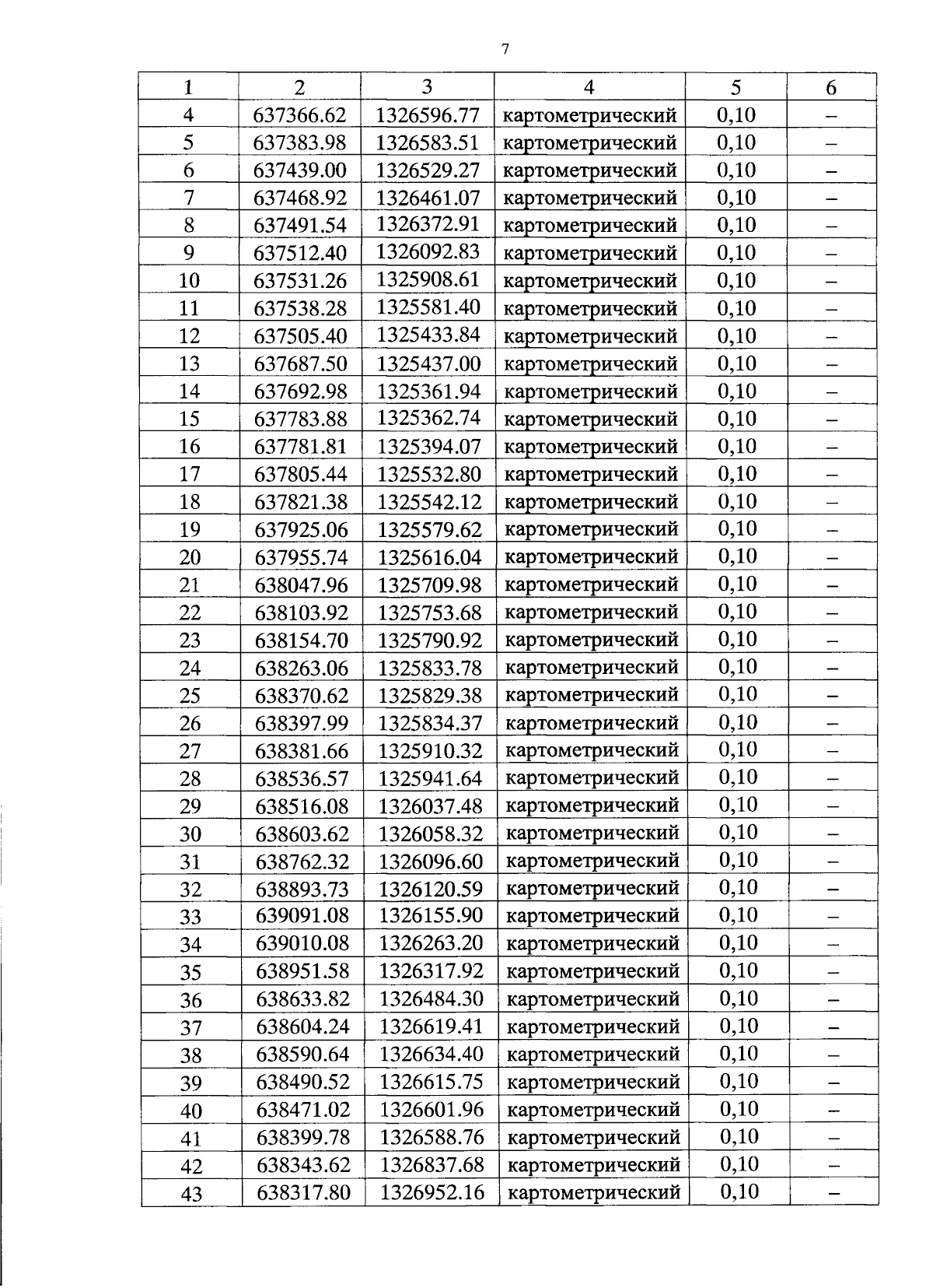
Постановление Правительства Оренбургской области от 27.09.2023 № 943-пп
"Об установлении границ территории, утверждении предмета охраны, историко-культурного опорного плана и требований к градостроительным регламентам в границах территории исторического поселения регионального значения город Бугуруслан Оренбургской области"
Номер опубликования: 5600202310020003
Дата опубликования: 02.10.2023
Страница №7 из 104:
Увеличить