Официальное опубликование правовых актов
ОФИЦИАЛЬНОЕ ОПУБЛИКОВАНИЕ
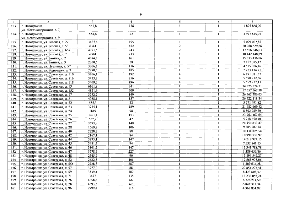
Постановление Правительства Оренбургской области от 31.03.2023 № 314-пп
"О внесении изменения в постановление Правительства Оренбургской области от 27 сентября 2022 года № 1014-пп"
Номер опубликования: 5600202304070024
Дата опубликования: 07.04.2023
Страница №9 из 326:
Увеличить