Официальное опубликование правовых актов
ОФИЦИАЛЬНОЕ ОПУБЛИКОВАНИЕ
Постановление Правительства Оренбургской области от 31.03.2023 № 320-пп
"О внесении изменений в постановление Правительства Оренбургской области от 27.12.2022 № 1478-пп"
Номер опубликования: 5600202304070020
Дата опубликования: 07.04.2023
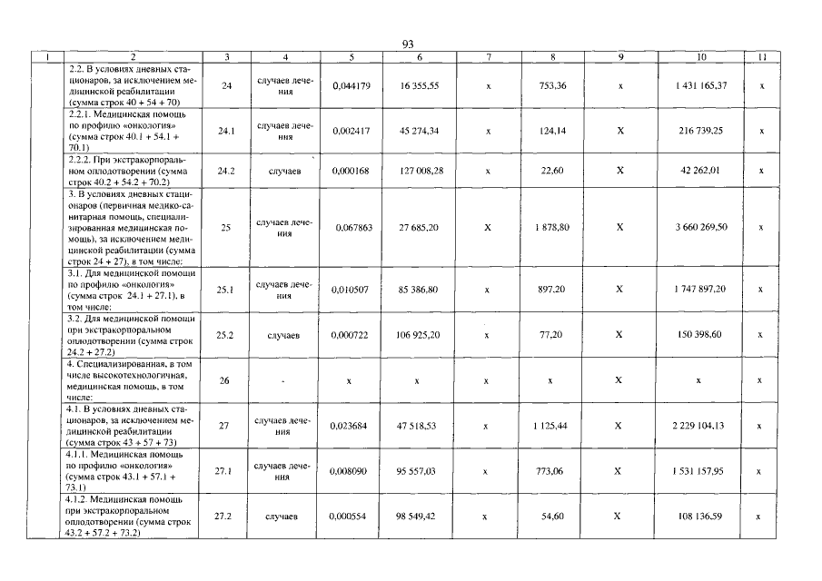
Страница №93 из 144:
Увеличить