Официальное опубликование правовых актов
ОФИЦИАЛЬНОЕ ОПУБЛИКОВАНИЕ
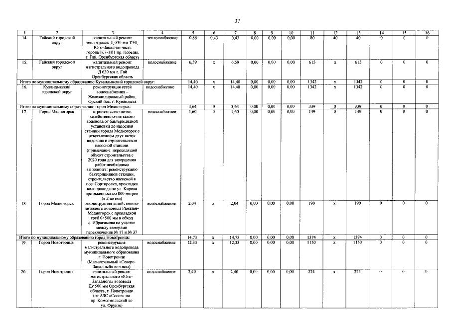
Постановление Правительства Оренбургской области от 31.03.2023 № 315-пп
"Об утверждении региональной программы "Модернизация систем коммунальной инфраструктуры на территории Оренбургской области на 2023–2027 годы"
Номер опубликования: 5600202304070019
Дата опубликования: 07.04.2023
Страница №37 из 48:
Увеличить