Официальное опубликование правовых актов
ОФИЦИАЛЬНОЕ ОПУБЛИКОВАНИЕ
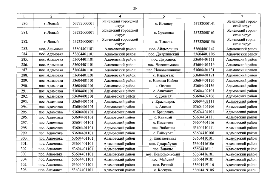
Постановление Правительства Оренбургской области от 01.03.2023 № 179-пп
"Об утверждении перечня опорных населенных пунктов и прилегающих населенных пунктов Оренбургской области"
Номер опубликования: 5600202303070017
Дата опубликования: 07.03.2023
Страница №20 из 75:
Увеличить