Официальное опубликование правовых актов
ОФИЦИАЛЬНОЕ ОПУБЛИКОВАНИЕ
Постановление Правительства Оренбургской области от 14.02.2023 № 158-пп
"О внесении изменения в постановление Правительства Оренбургской области от 20.03.2019 № 186-пп"
Номер опубликования: 5600202302170021
Дата опубликования: 17.02.2023
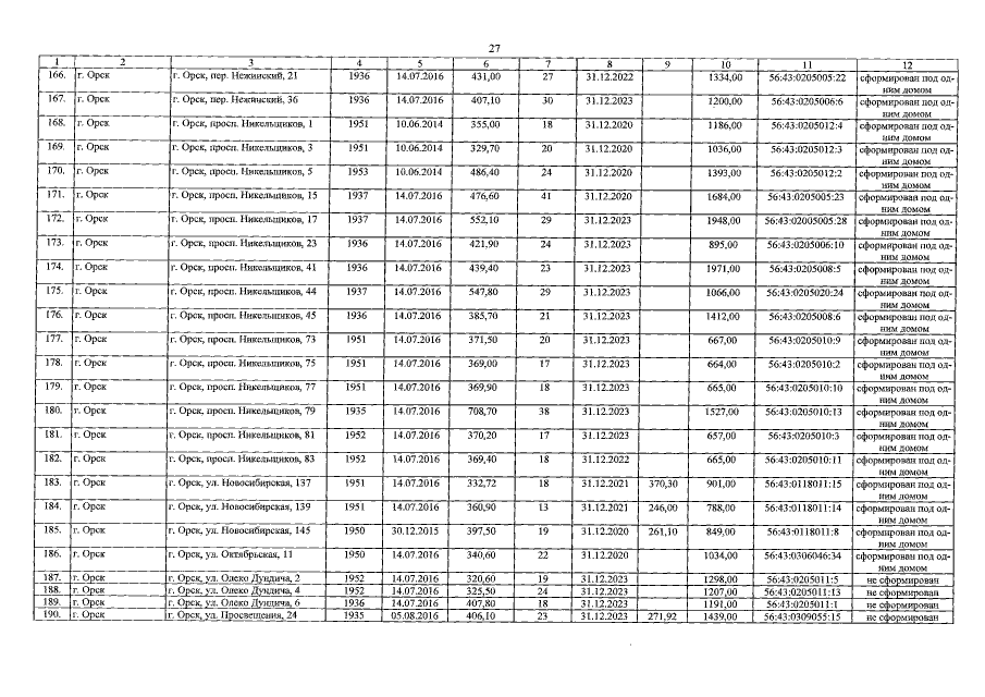
Страница №27 из 67:
Увеличить