Официальное опубликование правовых актов
ОФИЦИАЛЬНОЕ ОПУБЛИКОВАНИЕ
Постановление Правительства Оренбургской области от 27.12.2022 № 1479-пп
"О внесении изменений в постановление Правительства Оренбургской области от 29.12.2021 № 1314-пп"
Номер опубликования: 5600202301030057
Дата опубликования: 03.01.2023
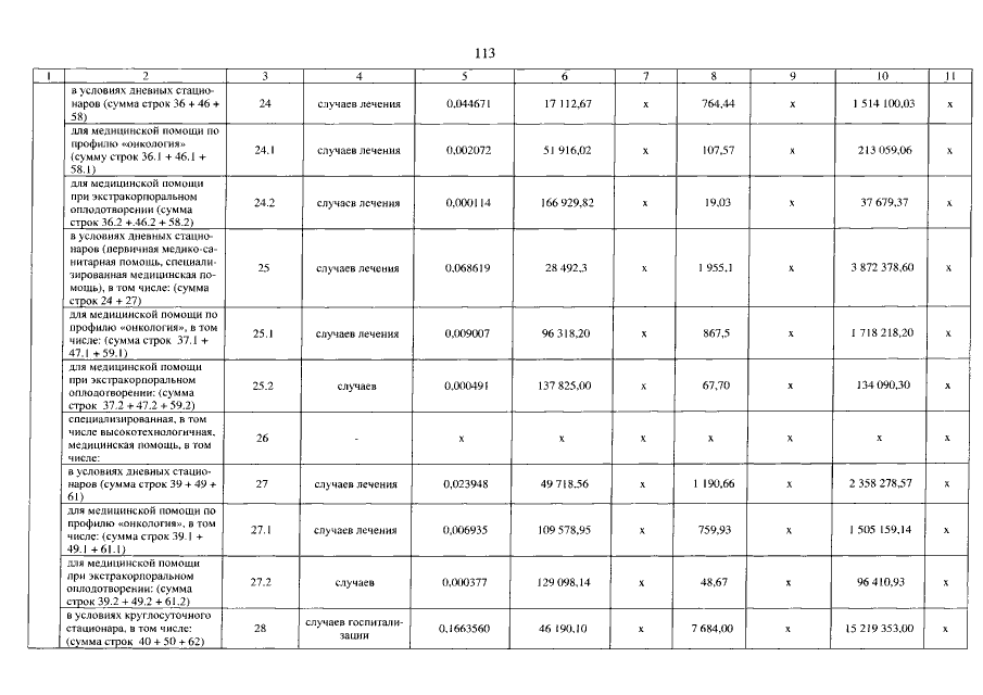
Страница №113 из 124:
Увеличить