Официальное опубликование правовых актов
ОФИЦИАЛЬНОЕ ОПУБЛИКОВАНИЕ
Постановление Правительства Оренбургской области от 27.12.2022 № 1491-пп
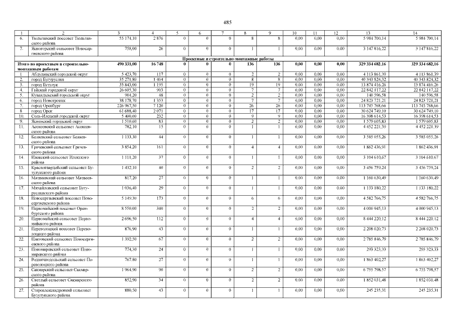
"Об итогах выполнения краткосрочного плана реализации региональной программы "Проведение капитального ремонта общего имущества в многоквартирных домах, расположенных на территории Оренбургской области, в 2014–2043 годах" на 2017–2019 годы"
Номер опубликования: 5600202301030035
Дата опубликования: 03.01.2023
Страница №485 из 493:
Увеличить