Официальное опубликование правовых актов
ОФИЦИАЛЬНОЕ ОПУБЛИКОВАНИЕ
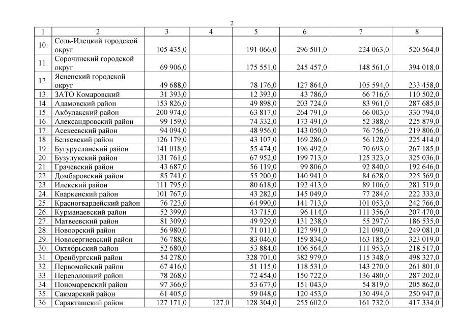
Закон Оренбургской области от 15.12.2022 № 636/237-VII-ОЗ
"Об областном бюджете на 2023 год и на плановый период 2024 и 2025 годов"
Номер опубликования: 5600202212200001
Дата опубликования: 20.12.2022
Страница №955 из 1178:
Увеличить