Официальное опубликование правовых актов
ОФИЦИАЛЬНОЕ ОПУБЛИКОВАНИЕ
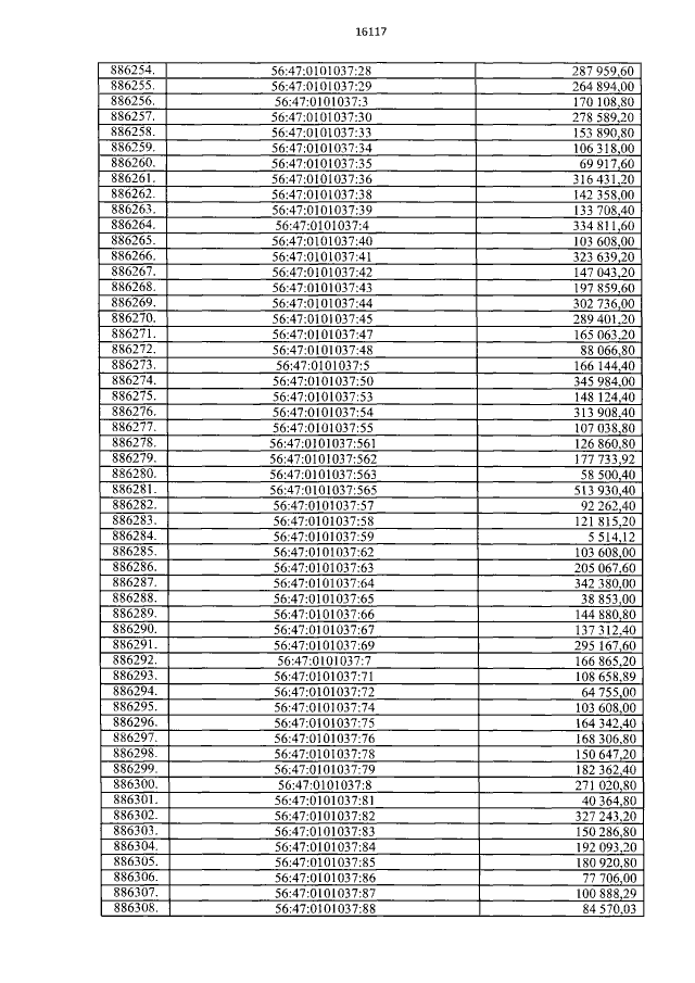
Постановление Правительства Оренбургской области от 25.10.2022 № 1123-пп
"Об утверждении результатов определения кадастровой стоимости земельных участков, расположенных на территории Оренбургской области"
Номер опубликования: 5600202211010001
Дата опубликования: 01.11.2022
Страница №16117 из 16254:
Увеличить