Официальное опубликование правовых актов
ОФИЦИАЛЬНОЕ ОПУБЛИКОВАНИЕ
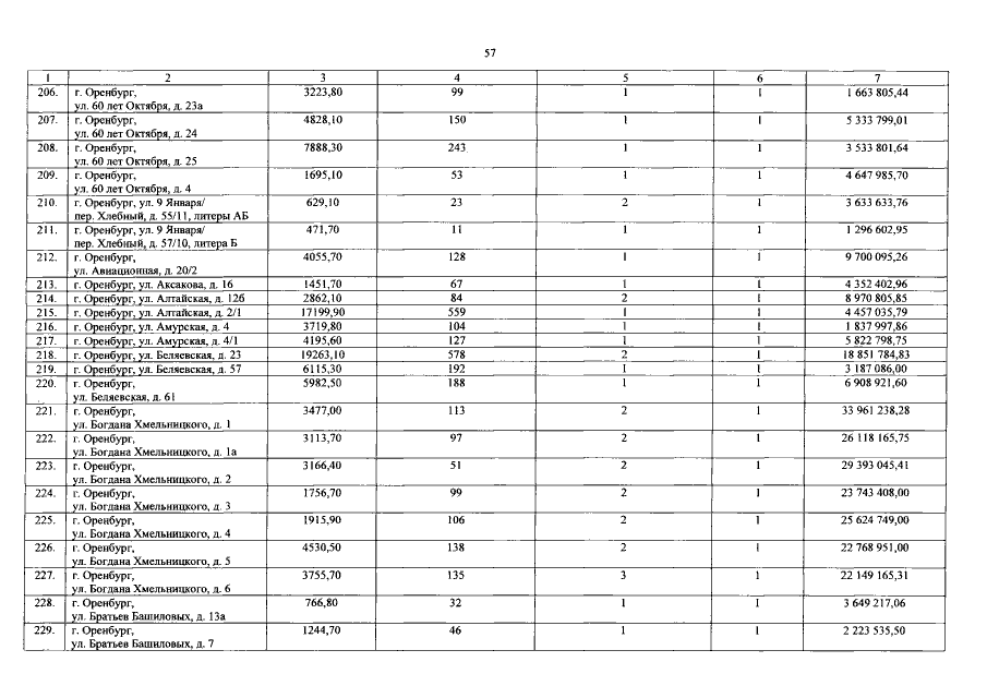
Постановление Правительства Оренбургской области от 27.09.2022 № 1013-пп
"О внесении изменения в постановление Правительства Оренбургской области от 10 октября 2019 года № 774-пп"
Номер опубликования: 5600202209300021
Дата опубликования: 30.09.2022
Страница №57 из 413:
Увеличить