Официальное опубликование правовых актов
ОФИЦИАЛЬНОЕ ОПУБЛИКОВАНИЕ
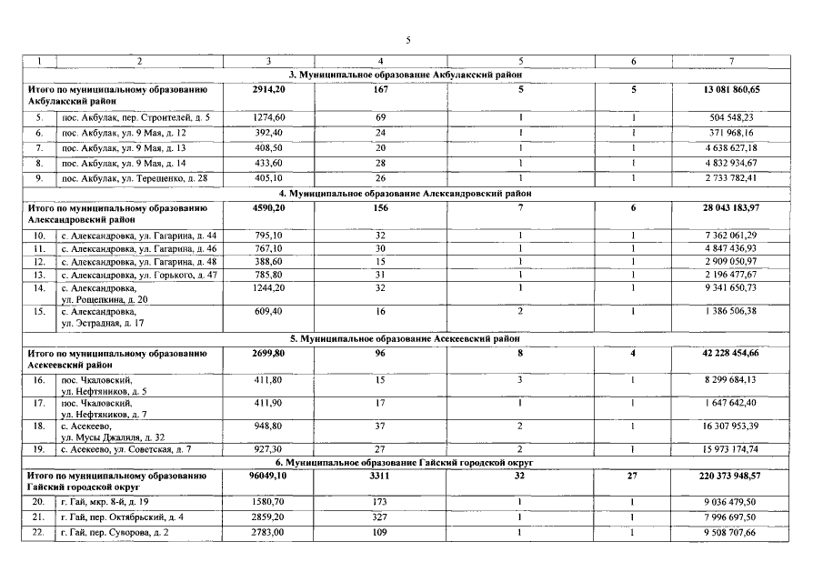
Постановление Правительства Оренбургской области от 27.09.2022 № 1014-пп
"Об утверждении краткосрочного плана реализации региональной программы "Проведение капитального ремонта общего имущества в многоквартирных домах, расположенных на территории Оренбургской области, в 2014–2043 годах" на 2023–2025 годы"
Номер опубликования: 5600202209300006
Дата опубликования: 30.09.2022
Страница №5 из 314:
Увеличить