Официальное опубликование правовых актов
ОФИЦИАЛЬНОЕ ОПУБЛИКОВАНИЕ
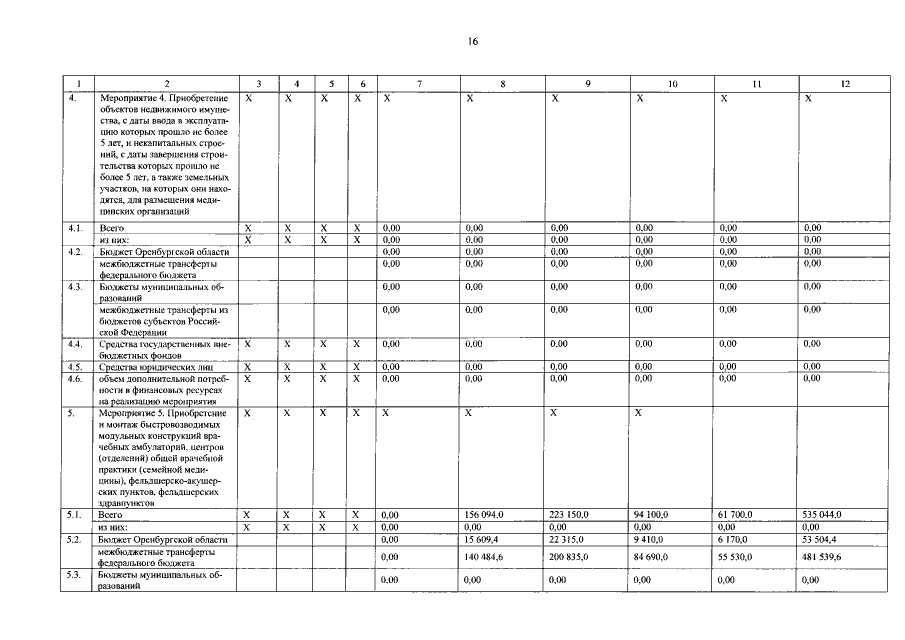
Постановление Правительства Оренбургской области от 02.08.2022 № 841-п
"О внесении изменений в постановление Правительства Оренбургской области от 11.12.2020 № 1079-п"
Номер опубликования: 5600202208090003
Дата опубликования: 09.08.2022
Страница №16 из 260:
Увеличить