Официальное опубликование правовых актов
ОФИЦИАЛЬНОЕ ОПУБЛИКОВАНИЕ
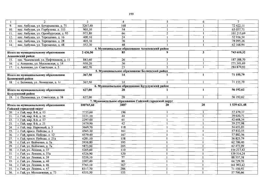
Постановление Правительства Оренбургской области от 28.06.2022 № 644-пп
"О внесении изменения в постановление Правительства Оренбургской области от 10 октября 2019 года № 774-пп"
Номер опубликования: 5600202207010005
Дата опубликования: 01.07.2022
Страница №199 из 382:
Увеличить