Официальное опубликование правовых актов
ОФИЦИАЛЬНОЕ ОПУБЛИКОВАНИЕ
Постановление Правительства Оренбургской области от 25.01.2022 № 35-пп
"О внесении изменений в постановление Правительства Оренбургской области от 15.05.2013 № 378-пп"
Номер опубликования: 5600202201280010
Дата опубликования: 28.01.2022
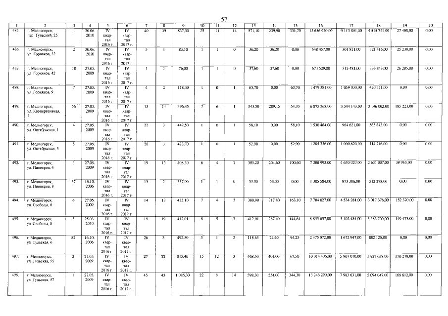
Страница №57 из 172:
Увеличить