Официальное опубликование правовых актов
ОФИЦИАЛЬНОЕ ОПУБЛИКОВАНИЕ
Постановление Правительства Оренбургской области от 25.01.2022 № 40-пп
"О внесении изменения в постановление Правительства Оренбургской области от 25.12.2018 № 888-пп"
Номер опубликования: 5600202201280007
Дата опубликования: 28.01.2022
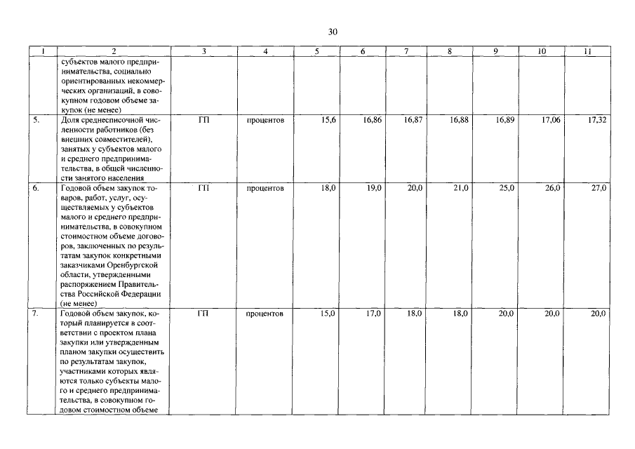
Страница №30 из 238:
Увеличить