Официальное опубликование правовых актов
ОФИЦИАЛЬНОЕ ОПУБЛИКОВАНИЕ
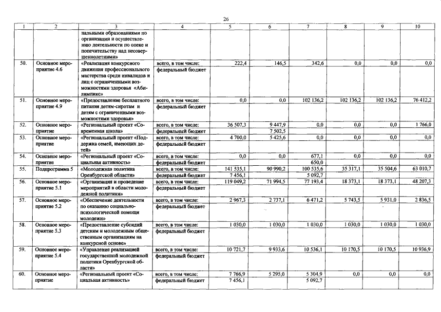
Постановление Правительства Оренбургской области от 23.11.2021 № 1094-пп
"О внесении изменений в постановление Правительства Оренбургской области от 29 декабря 2018 года № 921-пп"
Номер опубликования: 5600202111260002
Дата опубликования: 26.11.2021
Страница №26 из 27:
Увеличить