Официальное опубликование правовых актов
ОФИЦИАЛЬНОЕ ОПУБЛИКОВАНИЕ
Постановление Правительства Оренбургской области от 16.11.2021 № 1066-пп
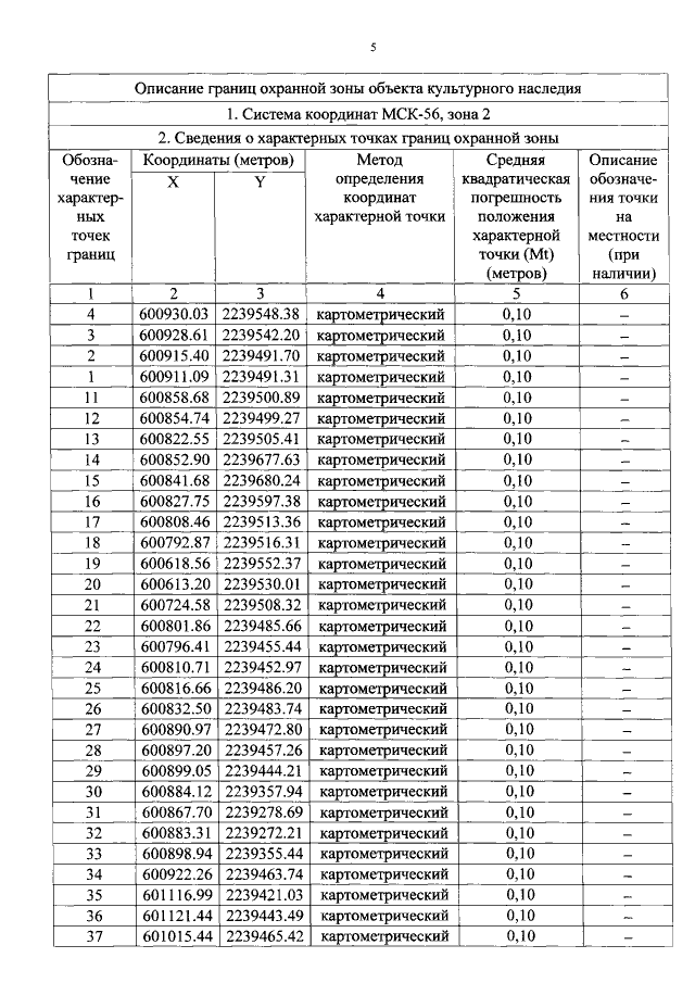
"Об изменении зон охраны, утверждении требований к градостроительным регламентам в границах территории зон охраны объекта культурного наследия (памятника истории и культуры) народов Российской Федерации регионального значения "Церковь Казанской Божьей матери" и о признании утратившим силу постановления Правительства Оренбургской области от 13 ноября 2017 года № 788-п"
Номер опубликования: 5600202111220008
Дата опубликования: 22.11.2021
Страница №5 из 16:
Увеличить