Официальное опубликование правовых актов
ОФИЦИАЛЬНОЕ ОПУБЛИКОВАНИЕ
Постановление Правительства Оренбургской области от 26.10.2021 № 1013-пп
"О внесении изменений в постановление Правительства Оренбургской области от 30.12.2013 № 1263-пп"
Номер опубликования: 5600202110290009
Дата опубликования: 29.10.2021
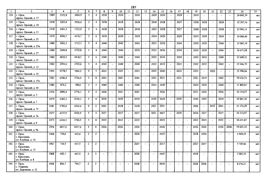
Страница №287 из 488:
Увеличить