Официальное опубликование правовых актов
ОФИЦИАЛЬНОЕ ОПУБЛИКОВАНИЕ
Постановление Правительства Оренбургской области от 03.08.2021 № 634-п
"О внесении изменения в постановление Правительства Оренбургской области от 11.12.2020 № 1079-п"
Номер опубликования: 5600202108120001
Дата опубликования: 12.08.2021
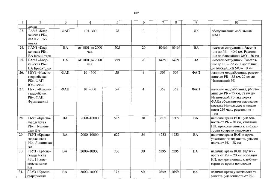
Страница №159 из 995:
Увеличить