Официальное опубликование правовых актов
ОФИЦИАЛЬНОЕ ОПУБЛИКОВАНИЕ
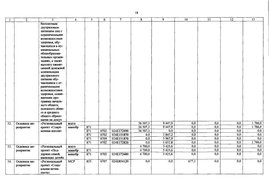
Постановление Правительства Оренбургской области от 26.04.2021 № 321-пп
"О внесении изменений в постановление Правительства Оренбургской области от 29 декабря 2018 года № 921-пп"
Номер опубликования: 5600202104300009
Дата опубликования: 30.04.2021
Страница №18 из 28:
Увеличить