Официальное опубликование правовых актов
ОФИЦИАЛЬНОЕ ОПУБЛИКОВАНИЕ
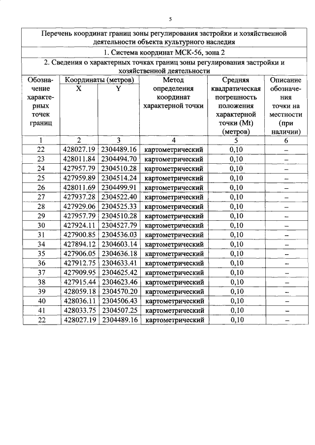
Постановление Правительства Оренбургской области от 16.12.2020 № 1122-пп
"Об установлении зон охраны и утверждении требований к градостроительным регламентам в установленных границах территорий зон охраны объекта культурного наследия (памятника истории и культуры) народов Российской Федерации регионального значения "Здание бывшей церкви Успения Богородицы", XIX в."
Номер опубликования: 5600202012210025
Дата опубликования: 21.12.2020
Страница №5 из 13:
Увеличить