Официальное опубликование правовых актов
ОФИЦИАЛЬНОЕ ОПУБЛИКОВАНИЕ
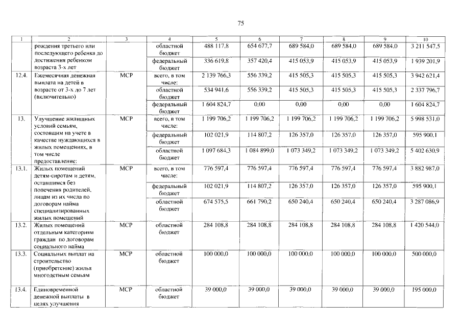
Постановление Правительства Оренбургской области от 03.11.2020 № 920-пп
"О внесении изменений в постановление Правительства Оренбургской области от 25.12.2019 № 976-пп"
Номер опубликования: 5600202011090005
Дата опубликования: 09.11.2020
Страница №75 из 80:
Увеличить