Официальное опубликование правовых актов
ОФИЦИАЛЬНОЕ ОПУБЛИКОВАНИЕ
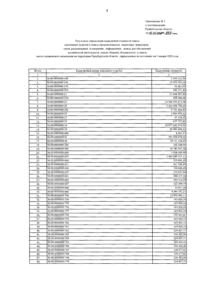
Постановление Правительства Оренбургской области от 15.10.2020 № 858-пп
"Об утверждении результатов определения кадастровой стоимости земель населенных пунктов и земель промышленности, энергетики, транспорта, связи, радиовещания, телевидения, информатики, земель для обеспечения космической деятельности, земель обороны, безопасности и земель иного специального назначения на территории Оренбургской области"
Номер опубликования: 5600202010210001
Дата опубликования: 21.10.2020
Страница №3 из 11218:
Увеличить