Официальное опубликование правовых актов
ОФИЦИАЛЬНОЕ ОПУБЛИКОВАНИЕ
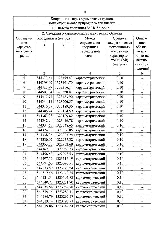
Постановление Правительства Оренбургской области от 28.09.2020 № 793-пп
"Об установлении зон охраны и утверждении требований к градостроительным регламентам в установленных границах территорий зон охраны объекта культурного наследия (памятника истории и культуры) народов Российской Федерации регионального значения "Церковь"
Номер опубликования: 5600202010010019
Дата опубликования: 01.10.2020
Страница №8 из 18:
Увеличить