Официальное опубликование правовых актов
ОФИЦИАЛЬНОЕ ОПУБЛИКОВАНИЕ
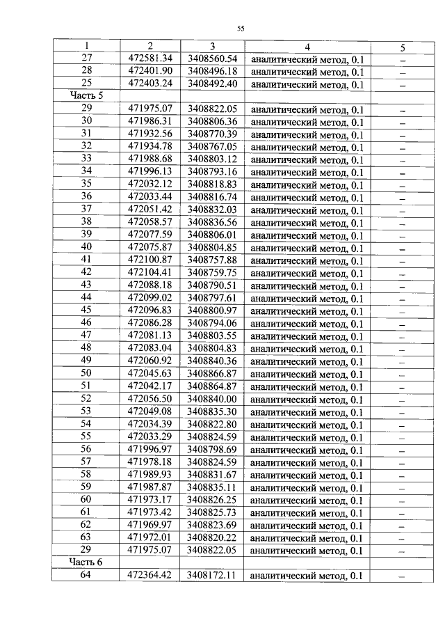
Постановление Правительства Оренбургской области от 19.03.2020 № 201-пп
"Об утверждении границ охранных зон газораспределительных сетей и наложении ограничений на входящие в них земельные участки, расположенные на территории муниципального образования Кваркенский район Оренбургской области"
Номер опубликования: 5600202003240032
Дата опубликования: 24.03.2020
Страница №55 из 100:
Увеличить