Официальное опубликование правовых актов
ОФИЦИАЛЬНОЕ ОПУБЛИКОВАНИЕ
Постановление Правительства Оренбургской области от 23.01.2020 № 5-пп
"О внесении изменений в постановление Правительства Оренбургской области от 20.03.2019 № 186-пп"
Номер опубликования: 5600202001270003
Дата опубликования: 27.01.2020
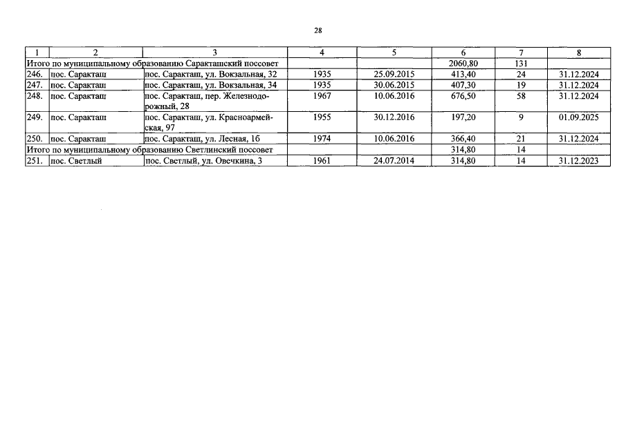
Страница №28 из 56:
Увеличить