Официальное опубликование правовых актов
ОФИЦИАЛЬНОЕ ОПУБЛИКОВАНИЕ
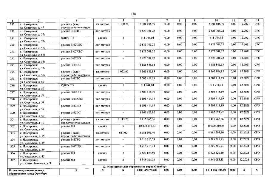
Постановление Правительства Оренбургской области от 30.12.2019 № 1041-пп
"О внесении изменений в постановление Правительства Оренбургской области от 10 октября 2019 года № 774-пп"
Номер опубликования: 5600201912310018
Дата опубликования: 31.12.2019
Страница №138 из 506:
Увеличить