Официальное опубликование правовых актов
ОФИЦИАЛЬНОЕ ОПУБЛИКОВАНИЕ
Постановление Правительства Оренбургской области от 29.04.2019 № 293-п
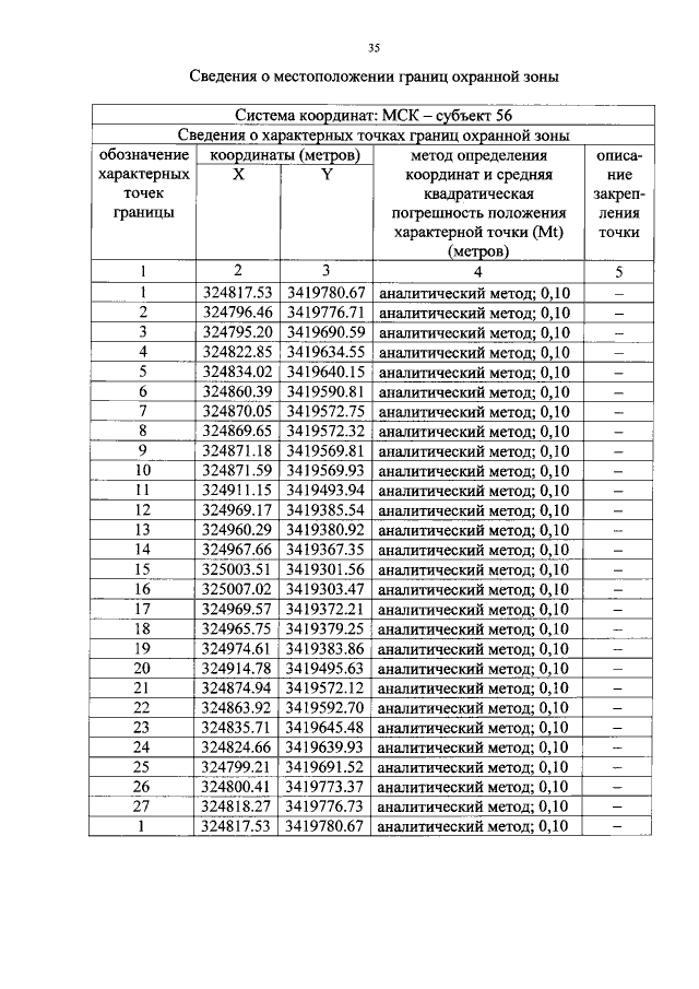
"Об утверждении границ охранных зон газораспределительных сетей и наложении ограничений на входящие в них земельные участки, расположенные на территориях муниципальных образований Домбаровский сельсовет Домбаровского района, Заринский сельсовет Домбаровского района, Ясненский городской округ Оренбургской области"
Номер опубликования: 5600201904300011
Дата опубликования: 30.04.2019
Страница №35 из 49:
Увеличить