Официальное опубликование правовых актов
ОФИЦИАЛЬНОЕ ОПУБЛИКОВАНИЕ
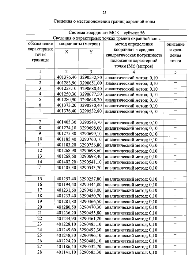
Постановление Правительства Оренбургской области от 20.03.2019 № 185-п
"Об утверждении границ охранных зон газораспределительных сетей и наложении ограничений на входящие в них земельные участки, расположенные на территории муниципального образования Кувандыкский городской округ Оренбургской области"
Номер опубликования: 5600201903270008
Дата опубликования: 27.03.2019
Страница №25 из 52:
Увеличить