Официальное опубликование правовых актов
ОФИЦИАЛЬНОЕ ОПУБЛИКОВАНИЕ
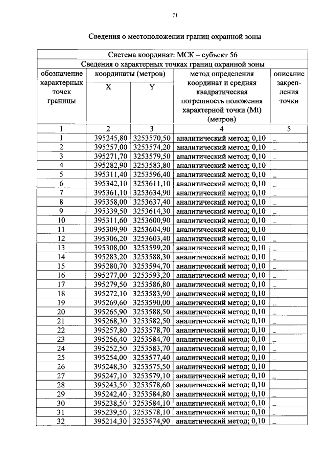
Постановление Правительства Оренбургской области от 11.01.2019 № 3-п
"Об утверждении границ охранных зон газораспределительных сетей и наложении ограничений на входящие в них земельные участки, расположенные на территории муниципального образования Кувандыкский городской округ Оренбургской области"
Номер опубликования: 5600201901150004
Дата опубликования: 15.01.2019
Страница №71 из 96:
Увеличить