Официальное опубликование правовых актов
ОФИЦИАЛЬНОЕ ОПУБЛИКОВАНИЕ
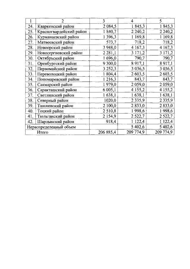
Закон Оренбургской области от 19.12.2018 № 1416/366-VI-ОЗ
"О внесении изменений в закон Оренбургской области "Об областном бюджете на 2018 год и на плановый период 2019 и 2020 годов"
Номер опубликования: 5600201812200001
Дата опубликования: 20.12.2018
Страница №1007 из 1046:
Увеличить