Официальное опубликование правовых актов
ОФИЦИАЛЬНОЕ ОПУБЛИКОВАНИЕ
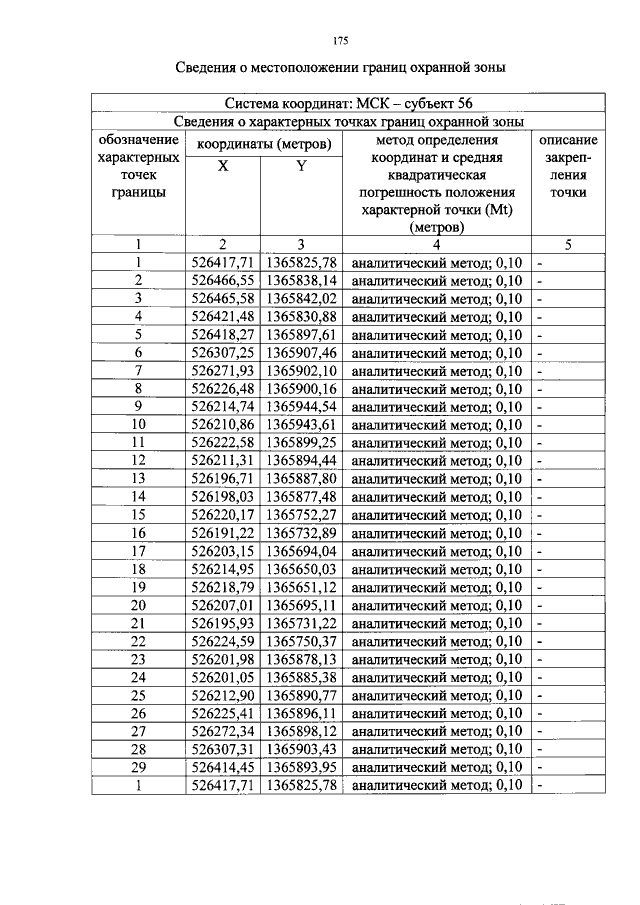
Постановление Правительства Оренбургской области от 17.08.2018 № 527-п
"Об утверждении границ охранных зон газораспределительных сетей и наложении ограничений на входящие в них земельные участки, расположенные на территории муниципального образования Сорочинский городской округ Оренбургской области"
Номер опубликования: 5600201808210001
Дата опубликования: 21.08.2018
Страница №175 из 189:
Увеличить