Официальное опубликование правовых актов
ОФИЦИАЛЬНОЕ ОПУБЛИКОВАНИЕ
Постановление Правительства Оренбургской области от 21.12.2017 № 932-пп
"О внесении изменения в постановление Правительства Оренбургской области от 28 июня 2013 года № 553-пп"
Номер опубликования: 5600201712290011
Дата опубликования: 29.12.2017
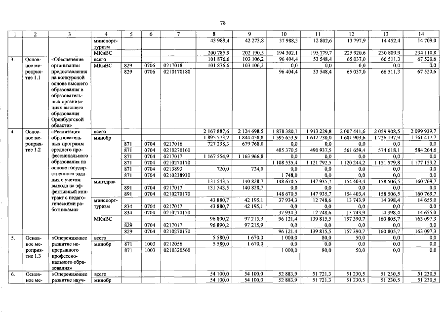
Страница №78 из 278:
Увеличить