Официальное опубликование правовых актов
ОФИЦИАЛЬНОЕ ОПУБЛИКОВАНИЕ
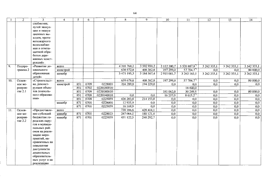
Постановление Правительства Оренбургской области от 09.06.2017 № 409-пп
"О внесении изменений в постановление Правительства Оренбургской области от 28 июня 2013 года № 553-пп"
Номер опубликования: 5600201706140014
Дата опубликования: 14.06.2017
Страница №64 из 118:
Увеличить