Официальное опубликование правовых актов
ОФИЦИАЛЬНОЕ ОПУБЛИКОВАНИЕ
Постановление Правительства Оренбургской области от 25.05.2017 № 381-п
"О внесении изменения в постановление Правительства Оренбургской области от 31 августа 2016 года № 617-п"
Номер опубликования: 5600201705310002
Дата опубликования: 31.05.2017
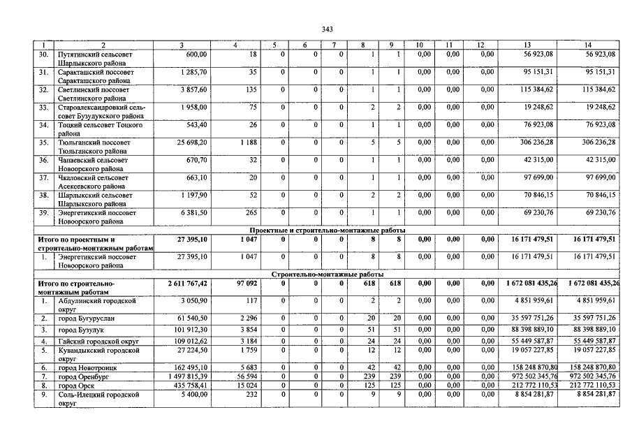
Страница №343 из 349:
Увеличить