Официальное опубликование правовых актов
ОФИЦИАЛЬНОЕ ОПУБЛИКОВАНИЕ
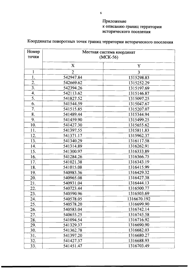
Постановление Правительства Оренбургской области от 19.08.2016 № 595-п
"Об утверждении границ территории, предметов охраны, историко-культурного опорного плана, требований к градостроительным регламентам в утвержденных границах территории исторического поселения регионального значения город Бузулук Оренбургской области"
Номер опубликования: 5600201608240010
Дата опубликования: 24.08.2016
Страница №6 из 38:
Увеличить